[go: up one dir, main page]

W3C

Arabic mathematical notation

W3C Interest Group Note 31 January 2006

This version:
http://www.w3.org/TR/2006/NOTE-arabic-math-20060131
Latest version:
http://www.w3.org/TR/arabic-math/
Previous version:
This is the first version
Editors:
Azzeddine Lazrek, with Mustapha Eddahibi and Khalid Sami, Cadi Ayyad University - Marrakech, Morocco
Bruce R. Miller, National Institute of Standards and Technology, USA

This document is also available in these non-normative formats: XHTML+MathML version.


Abstract

This Note analyzes potential problems with the use of MathML for the presentation of mathematics in the notations customarily used with Arabic, and related languages. The goal is to clarify avoidable implementation details that hinder such presentation, as well as to uncover genuine limitations in the specification. These limitations in the MathML specification may require extensions in future versions of the specification.

Status of this Document

This section describes the status of this document at the time of its publication. Other documents may supersede this document. A list of current W3C publications and the latest revision of this technical report can be found in the W3C technical reports index at http://www.w3.org/TR/.

This Note is a self-contained discussion of Arabic mathematical notation in MathML. It provides guidelines for the handling of Arabic mathematical presentation using MathML 2 Recommendation (2nd Edition) [MathML22e] and suggests extensions for a future revision.

This Note has been written by participants in the Math Interest Group (W3C members only) which is part of the W3C Math activity. Please direct comments and report errors in this document to www-math@w3.org, a mailing list with a public archive.

Publication as a Interest Group Note does not imply endorsement by the W3C Membership. This is a draft document and may be updated, replaced or obsoleted by other documents at any time. It is inappropriate to cite this document as other than work in progress.

Table of Contents

1 Introduction
2 Some Features of Arabic Script
    2.1 Text Direction
    2.2 Glyph Shaping
    2.3 Mirroring
    2.4 Number Systems
3 Comparison of Mathematical Notations
    3.1 Arabic Notation; Moroccan Style
    3.2 Arabic Notation; Maghreb Style
    3.3 Arabic Notation; Machrek Style
    3.4 Additional Arabic Notations
    3.5 Persian
4 Proposals and Clarifications
    4.1 Clarification of bidirectional Algorithm for MathML
    4.2 Glyph Shaping
    4.3 Additional Mathvariants
    4.4 Mirroring
    4.5 Horizontal Stretchiness
    4.6 Additional Constructs
5 Conclusions and Future Work
6 Acknowledgments
7 Production Notes

Appendices

A Localization Issues
    A.1 Number Systems
    A.2 Symbols Choice
B Implementation Issues
    B.1 Character Encoding
    B.2 Mathematical Fonts
    B.3 Symbol Stretching
    B.4 Software Tools
C Bibliography


1 Introduction

As the World Wide Web becomes more world wide, inclusion of the world's many languages, scripts and cultures becomes critical. Although the development of the Mathematical Markup Language (MathML) [MathML22e], was neither intentionally nor explicitly exclusive of non-European languages and scripts, the focus was on the notational schema used with European languages. Indeed, most of these notations are used unchanged in many other contexts. However, there are variations introduced in some languages, either for historical reasons, or to fit within various writing systems, which MathML should accommodate for improved international support (in particular educational material requiring these variations, or historical documents).

While European languages are written left to right (LTR), Arabic, among others, is written right to left (RTL). We will see that in Arabic mathematical texts many of the same notational constructs are used, but may be reversed or mirrored, depending on the cultural context; what we will call a mathematical directionality. The mathematical directionality is not necessarily the same as the text directionality. Moreover, since the mathematical material may commonly contain text and symbols coming from both Arabic and European languages, the question of how the Unicode bidirectional algorithm [UnicodeBiDi] should be applied arises. Finally, several additional symbols and writing styles may be used in special ways.

[Arabic Script samples]

Arabic Calligraphy is enriched by a variety of writing styles, as European writing benefits from a variety of fonts. The graphic above illustrates a variety of Arabic calligraphic styles; each word is the name of the corresponding style. In the same way that European mathematics broadens the set of distinct symbols available by using bold face, Fraktur or other styles, so does Arabic mathematics but typically by varying strokes, adding tails or other extensions.

A given piece of mathematics marked up in Content MathML ([MathML22e], chapter 4), is generally language-neutral — although the choices for variable names may imply a cultural context — it intends to represent the universal meaning of the mathematics. A given piece of mathematics marked up in Presentation MathML ([MathML22e], chapter 3), on the other hand, conveys the visual appearance of the expression. That appearance necessarily targets a specific language and notational conventions, indeed even of the scientific discipline involved. In this Note, we amplify and formalize this segregation of concerns: Presentation MathML should be a fairly literal representation of the visual notation to be used.

We relegate all localization issues — which symbol to use for summation, which name to use for tangent, what format to use for numbers — to the generator of the Presentation MathML, rather than the renderer. This avoids guessing, perhaps wrongly, what number is intended while deciding whether to replace periods by commas, for example. Thus, localization entails the choice of what text content to place within MathML's token elements, but that choice is already fixed within a given piece of Presentation MathML.

In this Note, we have attempted to examine all notational conventions in current use with Arabic and languages written using Arabic script, without giving preference to one form over another. We aim to clarify the specification of MathML, proposing extensions where needed, so that MathML has the broadest coverage possible. Nevertheless, an in-depth analysis of issues affecting other languages, particularly those written top to bottom is a topic for future study. The emphasis on Arabic languages is partly a reflection of an increased interest in, and usage of, MathML in Arabic language contexts that have highlighted the issues described here. Another topic for future study is how Content MathML might best support the transformation to appropriately localized Presentation MathML.

2 Some Features of Arabic Script

Before delving into mathematical notations, it will help to describe some of the features of Arabic script, and how Unicode deals with these features.

2.1 Text Direction

While European languages are written from left to right (LTR), Arabic is written from right to left (RTL). Unicode supports these scripts by not only defining codepoints for the individual characters of these languages, but by recording the directionality of each character.

When a mixture of LTR and RTL characters appear in text (ie. bidirectional or BiDi text, such as an English text that includes Arabic words), Unicode's bidirectional algorithm [UnicodeBiDi] describes the order in which the characters will be displayed. All adjacent strongly-typed RTL characters (such as a in a single Arabic word) will be presented in right-to-left order, and vice versa for strongly-typed LTR characters. A cluster of characters with the same directionality is called a directional run.

Within any given "paragraph", directional runs are then ordered according to the overall directional context. The bidirectional algorithm allows for higher-level protocols to determine which segments of a structured text constitute "paragraphs" in this sense. For example, in HTML block-level elements are taken as the paragraph segments. The top-level html tag determines the directional context which can be changed on lower-level elements using the dir attribute.

For a gentle introduction to bidirectional text, see [UnicodeBiDiIntro].

2.2 Glyph Shaping

As Arabic is a calligraphic script, letters within words are typically joined together. When text in such calligraphic scripts is specified by character sequences, a process called shaping is used to blend, or connect the character glyphs. In Arabic words consisting of a single character, that character is drawn in the "isolated" style. In multi-character words, alternative shapes are generally used depending on position: the first (rightmost) character is drawn in its "initial" shape, the last (leftmost) character gets its "final" shape, and any characters in the middle are of the "medial" shape.

Compare the isolated characters غ ي ر to the result of glyph shaping غير.

2.3 Mirroring

Some characters, viewed abstractly, have the same meaning in many languages, but the form used in RTL languages are the roughly the mirror image of the form used in LTR languages. Parentheses and quotation marks are such characters. Unicode deals with these cases by marking some codepoints as mirrored, meaning that an alternate glyph will be used for the character if it appears in a RTL context.

Note that mirrored symbols are not required by Unicode (See Mirroring in [UnicodeBiDi], section 6) to be literally the exact mirror image. Indeed, it is considered an important point of Arabic calligraphy that they are not: the feather's head (kalam) is a flat rectangle. The writer holds the pen so that the largest side makes an angle of approximately 70° with the baseline. This orientation is kept throughout the process of drawing the character. Furthermore, as Arabic writing goes from right to left, some boldness is produced around segments running from top left toward the bottom right and conversely, segments from top right to the bottom left will rather be slim. Thus, the Arabic sum symbol Arabic Sigma, for example, is not simply the mirror image Mirrored Sigma of sigma Sigma.

2.4 Number Systems

There are several decimal numeral systems in use in Arabic:

SystemUnicodeDigitsImageRegions
EuropeanU0030-U00390123456789Maghreb Arab (eg. Morocco), as well as European
Arabic-IndicU0660-U0669٠١٢٣٤٥٦٧٨٩[Image of Arabic-Indic Digits]Machrek Arab (eg. Egypt)
Eastern Arabic-IndicU06F0-U06F9۰۱۲۳۴۵۶۷۸۹[Image of Eastern Arabic-Indic Digits]Iran

3 Comparison of Mathematical Notations

We will explore the spectrum of notations by choosing some samples of mathematical content and comparing how they would typically be rendered for different languages and cultures. We begin with an expression formatted as it might be seen in both English and French contexts.

StyleImageMathML
English[Image of formula in English style]
<math xmlns="http://www.w3.org/1998/Math/MathML" display="block">
  <mrow>
    <mrow>
      <mi>f</mi>
      <mo>⁡</mo>
      <mrow>
        <mo>(</mo>
        <mi>x</mi>
        <mo>)</mo>
      </mrow>
    </mrow>
    <mo>=</mo>
    <mrow>
      <mo>{</mo>
      <mtable>
        <mtr>
          <mtd>
            <mrow>
              <munderover>
                <mo movablelimits="false">∑</mo>
                <mrow>
                  <mi>i</mi>
                  <mo>=</mo>
                  <mn>1</mn>
                </mrow>
                <mi>s</mi>
              </munderover>
              <mo>⁡</mo>
              <msup>
                <mi>x</mi>
                <mi>i</mi>
              </msup>
            </mrow>
          </mtd>
          <mtd>
            <mrow>
              <mtext> if  </mtext>
              <mi>x</mi>
              <mo><</mo>
              <mn>0</mn>
            </mrow>
          </mtd>
        </mtr>
        <mtr>
          <mtd>
            <mrow>
              <msubsup>
                <mo>∫</mo>
                <mn>1</mn>
                <mi>s</mi>
              </msubsup>
              <mo>⁡</mo>
              <mrow>
                <msup>
                  <mi>x</mi>
                  <mi>i</mi>
                </msup>
                <mo>⁢</mo>
                <mi>d</mi>
                <mo>⁡</mo>
                <mi>x</mi>
              </mrow>
            </mrow>
          </mtd>
          <mtd>
            <mrow>
              <mtext> if </mtext>
              <mi>x</mi>
              <mo>∈</mo>
              <mi mathvariant="normal">S</mi>
            </mrow>
          </mtd>
        </mtr>
        <mtr>
          <mtd>
            <mrow>
              <mi>tan</mi>
              <mo>⁡</mo>
              <mi>π</mi>
            </mrow>
          </mtd>
          <mtd>
            <mrow>
              <mtext> otherwise </mtext>
              <mrow>
                <mo>(</mo>
                <mtext>with </mtext>
                <mi>π</mi>
                <mo>≃</mo>
                <mn>3.141</mn>
                <mo>)</mo>
              </mrow>
            </mrow>
          </mtd>
        </mtr>
      </mtable>
    </mrow>
  </mrow>
</math>
French[Image of formula in French style]
<math xmlns="http://www.w3.org/1998/Math/MathML" display="block">
  <mrow>
    <mrow>
      <mi>f</mi>
      <mo>⁡</mo>
      <mrow>
        <mo>(</mo>
        <mi>x</mi>
        <mo>)</mo>
      </mrow>
    </mrow>
    <mo>=</mo>
    <mrow>
      <mo>{</mo>
      <mtable>
        <mtr>
          <mtd>
            <mrow>
              <munderover>
                <mo movablelimits="false">∑</mo>
                <mrow>
                  <mi>i</mi>
                  <mo>=</mo>
                  <mn>1</mn>
                </mrow>
                <mi>s</mi>
              </munderover>
              <mo>⁡</mo>
              <msup>
                <mi>x</mi>
                <mi>i</mi>
              </msup>
            </mrow>
          </mtd>
          <mtd>
            <mrow>
              <mtext> si </mtext>
              <mi>x</mi>
              <mo><</mo>
              <mn>0</mn>
            </mrow>
          </mtd>
        </mtr>
        <mtr>
          <mtd>
            <mrow>
              <msubsup>
                <mo>∫</mo>
                <mn>1</mn>
                <mi>s</mi>
              </msubsup>
              <mo>⁡</mo>
              <mrow>
                <msup>
                  <mi>x</mi>
                  <mi>i</mi>
                </msup>
                <mo>⁢</mo>
                <mi>d</mi>
                  <mo>⁡</mo>
                <mi>x</mi>
              </mrow>
            </mrow>
          </mtd>
          <mtd>
            <mrow>
              <mtext> si </mtext>
              <mi>x</mi>
              <mo>∈</mo>
              <mi mathvariant="normal">E</mi>
            </mrow>
          </mtd>
        </mtr>
        <mtr>
          <mtd>
            <mrow>
              <mi>tg</mi>
              <mo>⁡</mo>
              <mi>π</mi>
            </mrow>
          </mtd>
          <mtd>
            <mrow>
              <mtext> sinon </mtext>
              <mrow>
                <mo>(</mo>
                <mtext>avec </mtext>
                <mi>π</mi>
                <mo>≃</mo>
                <mn>3,141</mn>
                <mo>)</mo>
              </mrow>
            </mrow>
          </mtd>
        </mtr>
      </mtable>
    </mrow>
  </mrow>
</math>

Structurally, the expressions are identical. The differences in names, number formatting and of course the language used for the connecting words are all due to localization. They are effected purely by differing textual content within the MathML token elements.

In the following sections, we will examine three common styles used for mathematics within Arabic texts. The terms Moroccan, Maghreb and Machrek will be used to indicate the general geographic areas where these styles are used, but there are no clearly defined borders between the regions.

3.1 Arabic Notation; Moroccan Style

The current way of writing mathematical expressions in Morocco, is closely related to the French style:

StyleImageMathML
Moroccan[Image of formula in Moroccan style]
<math xmlns="http://www.w3.org/1998/Math/MathML" display="block">
  <mrow>
    <mrow>
      <mi>f</mi>
      <mo>⁡</mo>
      <mrow>
        <mo>(</mo>
        <mi>x</mi>
        <mo>)</mo>
      </mrow>
    </mrow>
    <mo>=</mo>
    <mrow>
      <mo>{</mo>
      <mtable>
        <mtr>
          <mtd>
            <mrow>
              <munderover>
                <mo movablelimits="false">∑</mo>
                <mrow>
                  <mi>i</mi>
                  <mo>=</mo>
                  <mn>1</mn>
                </mrow>
                <mi>s</mi>
              </munderover>
              <mo>⁡</mo>
              <msup>
                <mi>x</mi>
                <mi>i</mi>
              </msup>
            </mrow>
          </mtd>
          <mtd>
            <mrow>
              <mtext>إذاكان </mtext> 
              <mi>x</mi>
              <mo><</mo>
              <mn>0</mn>
            </mrow>
          </mtd>
        </mtr>
        <mtr>
          <mtd>
            <mrow>
              <msubsup>
                <mo>∫</mo>
                <mn>1</mn>
                <mi>s</mi>
              </msubsup>
              <mo>⁡</mo>
              <mrow>
                <msup>
                  <mi>x</mi>
                  <mi>i</mi>
                </msup>
                <mo>⁢</mo>
                <mi>d</mi>
                 <mo>⁡</mo>
                <mi>x</mi>
              </mrow>
            </mrow>
          </mtd>
          <mtd>
            <mrow>
              <mtext>إذاكان </mtext> 
              <mi>x</mi>
              <mo>∈</mo>
              <mi mathvariant="normal">E</mi>
            </mrow>
          </mtd>
        </mtr>
        <mtr>
          <mtd>
            <mrow>
              <mi>tg</mi>
              <mo>⁡</mo>
              <mi>π</mi>
            </mrow>
          </mtd>
          <mtd>
            <mrow>
              <mtext>غيرذلك </mtext> 
              <mrow>
                <mo>(</mo>
                <mi>π</mi>
                <mo>≃</mo>
                <mn>3,141</mn>
                <mtext>مع</mtext>
                <mo>)</mo>
              </mrow>
            </mrow>
          </mtd>
        </mtr>
      </mtable>
    </mrow>
  </mrow>
</math>

Although the mathematics would be embedded within a RTL language (Arabic), its directionality is still LTR. The connecting words and phrases within the math, however, are RTL Arabic, and should be subject to glyph shaping (although some current MathML renderers are not doing this). Thus these phrases should appear as "إذاكان" (for "if"), "غيرذلك" (for "otherwise") and "مع" (for "with").

Also, the indication is that the bidirectional algorithm [UnicodeBiDi] should be applied to individual text and token elements, rather than at a higher level as in HTML; that is, the token elements act as paragraph segments. Even with these considerations, the ordering of phrases within the last clause (for "otherwise (with pi=3.141)") is problematic. The obvious markup sandwiching an mrow for "pi=3.141" between two mtext's for "otherwise (with" and ")", respectively, would yield an incorrect ordering. A correct rendering seems to require the possibility of embedding math within mtext, which is not possible in MathML 2.0. But even then, the desired ordering would need to be marked up as two separate mtext elements: one for "otherwise", and one for "(with pi=3.141)". The Math Interest Group is currently considering the possibilities of such embedding. The example above was marked up by artificially placing the Arabic word for "with" after the "pi=3.141".

Given such issues, it is sometimes advantageous to minimize the use of connecting phrases, with preference to simple punctuation, such as:

StyleImageMathML
Moroccan[Image of simplified formula in Moroccan style]
<math xmlns="http://www.w3.org/1998/Math/MathML" display="block">
  <mrow>
    <mrow>
      <mi>f</mi>
      <mo>⁡</mo>
      <mrow>
        <mo>(</mo>
        <mi>x</mi>
        <mo>)</mo>
      </mrow>
    </mrow>
    <mo>=</mo>
    <mrow>
      <mo>{</mo>
      <mtable>
        <mtr>
          <mtd>
            <mrow>
              <munderover>
                <mo movablelimits="false">∑</mo>
                <mrow>
                  <mi>i</mi>
                  <mo>=</mo>
                  <mn>1</mn>
                </mrow>
                <mi>s</mi>
              </munderover>
              <mo>⁡</mo>
              <msup>
                <mi>x</mi>
                <mi>i</mi>
              </msup>
            </mrow>
          </mtd>
          <mtd>
            <mrow>
              <mtext>; </mtext> 
              <mi>x</mi>
              <mo><</mo>
              <mn>0</mn>
            </mrow>
          </mtd>
        </mtr>
        <mtr>
          <mtd>
            <mrow>
              <msubsup>
                <mo>∫</mo>
                <mn>1</mn>
                <mi>s</mi>
              </msubsup>
              <mo>⁡</mo>
              <mrow>
                <msup>
                  <mi>x</mi>
                  <mi>i</mi>
                </msup>
                <mo>⁢</mo>
                <mi>d</mi>
                  <mo>⁡</mo>
                <mi>x</mi>
              </mrow>
            </mrow>
          </mtd>
          <mtd>
            <mrow>
              <mtext>; </mtext> 
              <mi>x</mi>
              <mo>∈</mo>
              <mi mathvariant="normal">E</mi>
            </mrow>
          </mtd>
        </mtr>
        <mtr>
          <mtd>
            <mrow>
              <mi>tg</mi>
              <mo>⁡</mo>
              <mi>π</mi>
            </mrow>
          </mtd>
          <mtd>
            <mrow>
              <mtext>; </mtext> 
              <mrow>
                <mo>(</mo>
                <mi>π</mi>
                <mo>≃</mo>
                <mn>3,141</mn>
                <mo>)</mo>
              </mrow>
            </mrow>
          </mtd>
        </mtr>
      </mtable>
    </mrow>
  </mrow>
</math>

3.2 Arabic Notation; Maghreb Style

The Maghreb style of notation is widely used in North Africa:

StyleImageMathML
Maghreb[Image of formula in Maghreb style]Not yet attempted

Here, the most striking difference is that the overall mathematical layout is the mirror image of the preceding examples, that is, the mathematical directionality is RTL. Further, some symbols (eg ∑, <, ∈) are mirrored as well. Thus, we need a means of specifying the mathematical directionality, and assuring that the appropriate symbols are available in Unicode and are marked as mirrored.

The remaining differences are due to a more pronounced use of Arabic symbols: DAL DAL (as the initial of DALT = "function" in Arabic); the Arabic letter BEH BEH, and the letters of the function name abbreviation TAH for tangent (without dots). Again, these differences fall into the category of localization, but reinforce the idea that the Unicode bidirectional algorithm, along with glyph shaping, should apply individually to token elements.

3.3 Arabic Notation; Machrek Style

As the final Arabic example, we consider the Machrek style generally used in the Middle East.

StyleImageMathML
Machrek[Image of formula in Machrek style]Not yet attempted

Most differences between the Machrek and Maghreb styles are essentially due to localization: a specifically Arabic symbol MG is used for the summation (initial of MGMUE = "sum" in Arabic); a different letter TEH is used for the function (initial of TABET, also "function" in Arabic); the letters of the elementary function name abbreviation DAH are with dots; and a number format using Arabic-Indic digits and a comma for the decimal separator (but not the same as the Arabic comma used in text).

Note that the symbol used for summation should probably be a mathematical symbol with a codepoint distinct from the Arabic letter, as the European summation symbol is distinct from the Greek Sigma. This point also applies to the Arabic product.

3.4 Additional Arabic Notations

Two additional unique notations involve combinatorics, namely the factorial and binomial coefficients:

StyleImageMathML
English[Image of 12 factorial in english style]
<math xmlns="http://www.w3.org/1998/Math/MathML" display="block">
  <mrow><mn>12</mn><mo>!</mo></mrow>
</math>
Arabic[Image of 12 factorial in Arabic style]
<math xmlns="http://www.w3.org/1998/Math/MathML" display="block" dir="rtl">
  <menclose notation="madruwb">
    12
  </menclose>
</math>

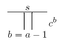
The argument to the factorial must be wrapped in a form similar to the character LAM (ل), which must be stretched in both directions to accommodate. A new menclose notation, madruwb is proposed for this case.

StyleImageMathML
English [Image of binomial(5,12) in english style]
<math xmlns="http://www.w3.org/1998/Math/MathML" display="block">
  <mrow>
    <mo>(</mo><mtable><mtr><mtd>5</mtd></mtr><mtr><mtd>12</mtd></mtr></mtable><mo>)</mo>
  </mrow>
</math>
Arabic [image of binomial(5,12) in Arabic style]
<math xmlns="http://www.w3.org/1998/Math/MathML" display="block" dir="rtl">
  <mmultiscripts><mo>ل</mo>
    <mn>12</mn><none/>
    <mprescripts/>
    <none/><mn>5</mn>
  </mmultiscripts>
</math>

Finally, although stacked fractions are rendered the same way in both European and Arabic, bevelled fractions in RTL Arabic will appear, as one would expect, with the terms in RTL order, i.e. A divided by B would appear as "B/A". In some locales, the preference is for the slash to also be mirrored, as "B\A". For these cases, we suggest that authors employ explicit markup using the REVERSE SOLIDUS \, such as <mrow><mi>A</mi><mo>\</mo><mi>B</mi></mrow> .

3.5 Persian

Persian languages generally use the Arabic script (written RTL), but with the mathematical directionality LTR, similar to the Moroccan style. We are aware of only one mathematical notation unique to Persian writing, the notation used for limits:

StyleImageMathML
English[Image of limit formula in English style]
<math xmlns="http://www.w3.org/1998/Math/MathML" display="block">
  <mrow>
    <mrow>
      <munder>
        <mo movablelimits="false">lim</mo>
        <mrow>
          <mi>x</mi>
          <mo>→</mo>
          <mfrac bevelled="true">
            <mi>π</mi>
            <mn>10</mn>
          </mfrac>
        </mrow>
      </munder>
      <mo>⁡</mo>
      <mrow>
        <mi>sin</mi>
        <mo>⁡</mo>
        <mi>x</mi>
      </mrow>
    </mrow>
    <mo>=</mo>
    <mrow>
      <mfrac>
        <mn>1</mn>
        <mn>4</mn>
      </mfrac>
      <mo>⁢</mo>
      <mrow>
        <mo>(</mo>
        <msqrt>
          <mn>5</mn>
        </msqrt>
        <mo>-</mo>
        <mn>1</mn>
        <mo>)</mo>
      </mrow>
    </mrow>
  </mrow>
</math>
Persian [Image of limit formula in Persian style]
<math xmlns="http://www.w3.org/1998/Math/MathML" display="block">
  <mrow>
    <mrow>
      <munder>
        <mo movablelimits="false">حد</mo>
        <mrow>
          <mi>x</mi>
          <mo>→</mo>
          <mfrac bevelled="true">
            <mi>π</mi>
            <mn>۱۰</mn>
          </mfrac>
        </mrow>
      </munder>
      <mo>⁡</mo>
      <mrow>
        <mi>sin</mi>
        <mo>⁡</mo>
        <mi>x</mi>
      </mrow>
    </mrow>
    <mo>=</mo>
    <mrow>
      <mfrac>
        <mn>۱</mn>
        <mn>۴</mn>
      </mfrac>
      <mo>⁢</mo>
      <mrow>
        <mo>(</mo>
        <msqrt>
          <mn>۵</mn>
        </msqrt>
        <mo>-</mo>
        <mn>۱</mn>
        <mo>)</mo>
      </mrow>
    </mrow>
  </mrow>
</math>

While the overall notation is similar to the Moroccan model (LTR), it uses the Eastern Arabic-Indic digits. The word "حد" (for "limit"), is used; this word should not only be affected by glyph shaping, but should be stretched horizontally to match the length of the underscript.

4 Proposals and Clarifications

4.1 Clarification of bidirectional Algorithm for MathML

The following summarizes how directionality should be applied to MathML and, in particular, describes how the bidirectional algorithm should be applied (it falls into class HL4; See Higher Level Protocols: HL4 in [UnicodeBiDi], section 4.3).

  • The overall mathematical directionality should be determined by a (new) dir attribute on the outermost math element which takes one of the values ltr or rtl; the default is ltr. If this attribute is rtl the layout of all Layout, Script, Limit, Table and Matrix schemata should proceed from right to left. This includes such effects as the surd of an mroot starting from the right. When the mathematical directionality is ltr, the layout should conform to the current MathML specification.

  • The text content of each Token element should be treated as a separate directional segment and the bidirectional algorithm should be applied to each independently. The initial directional context for each Token element is determined by the mathematical directionality. This latter property should assure that individual mirrored symbols are treated correctly.

As an example, consider the MathML fragment:

<mn>1</mn> <mo>+</mo> <mi> BEHP </mi> <mo>-</mo> <mn>2</mn>

Some browsers mis-apply the bidirectional algorithm to the expression as a whole, as in HTML. Applying the HTML algorithm would set the first two items LTR, but then switch directions upon encountering the letter BEHP; thus the last three items are reversed.

StyleImageMathML
Right [Image of expression rendered correctly]
<math xmlns="http://www.w3.org/1998/Math/MathML" display="display">
  <mn>1</mn><mo>+</mo><mi>ب</mi><mo>-</mo><mn>2</mn>
</math>
Wrong[Image of expression rendered incorrectly]

4.2 Glyph Shaping

Glyph shaping rules apply not only to the textual content of an mtext, but also to Arabic character sequences used as mathematical symbols (particularly in mi and mo). This shaping is the visual cue that distinguishes a single symbol from a sequence of symbols, perhaps representing a product. This is analogous to the use of roman font in European mathematics, to distinguish for example

<math xmlns="http://www.w3.org/1998/Math/MathML" display="display"><mi>sin</mi></math>
from
<math xmlns="http://www.w3.org/1998/Math/MathML" display="display"><mi>s</mi><mi>i</mi><mi>n</mi></math>
.

Thus, implementors should apply shaping to each character sequence within the text content of any token elements.

Certain Arabic characters (ا د ذ ر ز و) have no unique initial or medial shapes. Their use in the middle of a mathematical symbol would tend to make the symbol look like the product of two shorter symbols. Thus, to avoid confusion, authors should avoid using these characters in the middle of mathematical symbols.

4.3 Additional Mathvariants

For single character tokens, additional styles, besides isolated, are used to enlarge the set of available distinct symbols, just as the bold and Fraktur styles are used in European mathematics. The styles used in Arabic mathematics are "tailed", "looped" and "stretched", in addition to the "initial" style applied to the individual character. Furthermore, the "double-struck" style is commonly used. The following table shows the character JEEM in the various styles, in both dotted and undotted forms (see below):

isolatedinitialtailedloopedstretcheddouble-struck
dottedDotted JEEM isolated formDotted JEEM initial formDotted JEEM tailed formDotted JEEM looped formDotted JEEM stretched formDotted JEEM double-struck
undottedUndotted JEEM ISOLATEDUndotted JEEM initial formUndotted JEEM tailed formUndotted JEEM looped formUndotted JEEM stretched formUndotted JEEM double-struck

It is proposed to consider the mathvariant "normal", when applied to Arabic, to mean the result of glyph shaping, and in particular, the "isolated" style for single character tokens. It is also proposed to add the following values allowed for mathvariant: "initial", "tailed", "looped" and "stretched".

It is not expected to be meaningful to apply the "bold", "italic", "fraktur", "script", "sans-serif" or "monospace" mathvariants (or combinations) to Arabic (although there is some sentiment for allowing "bold" and "italic"). Nor is it meaningful to apply any mathvariant other than "normal" to multicharacter tokens, which should have glyph shaping applied. The current MathML specification points out that the only combinations of characters and mathvariant that have an unambiguous interpretation are those that correspond to the SMP Math Alphanumeric Symbols. An analogous argument is to be made for Arabic and the proposed Arabic Math Alphabetic Symbols [UnicodeProposition] (not yet part of Unicode).

Both dotted and undotted alphabetic symbols are encountered in this Note. The choice of which type to use is up to local preferences, however; documents use either dotted or undotted symbols, but not a mixture, and in particular, the dots are not used to indicate semantic distinctions. Thus, it is not felt that dotting is a good candidate for a mathvariant value, but rather should be accommodated by the choice of symbol fonts available to user's browser, or possibly through CSS.

4.4 Mirroring

The MathML attributes lspace, rspace, lquote and rquote should be interpreted as opening and closing, rather than strictly left and right. This historical anomaly is analogous to the standard Unicode names for the parentheses: The LEFT PARENTHESIS and RIGHT PARENTHESIS are marked as mirrored and are taken to represent OPENING PARENTHESIS and CLOSING PARENTHESIS, respectively.

The Math Working Group, and other interested parties, should work to assure that the necessary codepoints for Arabic mathematics are not only available, but appropriately marked for mirroring. It is also to be hoped that available fonts will be available, and will respect the calligraphic qualities regarding mirroring.

4.5 Horizontal Stretchiness

In Arabic mathematics, the sum, product and limit are commonly stretched horizontally to the same width as the limits (over or under) that apply to them. Such stretching does occasionally appear, but is rare, in European mathematics. In Horizontal Stretching Rules of MathML ([MathML22e] section 3.2.5.8.3), standard allows for such horizontal stretching of some symbols at the discretion of the rendering agent. In this Note, we simply encourage developers to implement this feature for the appropriate Arabic symbols.

4.6 Additional Constructs

The Arabic notation for factorial is a sort of enclosure. We propose to add an additional allowed value madruwb (transliteration of the Arabic مضروب for factorial) for the notation attribute of menclose.

5 Conclusions and Future Work

This Note describes the notational issues encountered in presenting mathematics within Arabic and other RTL languages, in particular focusing on how these notations differ from the model described by MathML2. To the best of our knowledge, the unique notations described here cover all known differences.

This Note also proposes enhancements to be considered in a future revision of the MathML specification. These enhancements would allow Presentation MathML to be used to conveniently incorporate mathematics into Arabic documents in a style conventionally used by Arabic speaking authors.

The successful use of mathematics in Arabic texts will also require, in addition to the extensions proposed here, that the appropriate codepoints are included in Unicode, and that those codepoints are correctly marked as mirrored. Some proposals ([UnicodeProposition],[ArabicMathUnicode]) have already been made.

6 Acknowledgments

This document has been produced by the members of the Math Interest Group. The chairs of this Interest Group are David Carlisle (invited expert) and Robert Miner (Design Science, Inc.). Other members of the Working Group are (at the time of writing): Isam Ayoubi (invited expert), Laurent Bernardin (Waterloo Maple Inc.), Stephane Dalmas (Institut National de Recherche en Informatique et en Automatique), Stan Devitt (invited expert), Max Froumentin (W3C), Patrick D F Ion (invited expert), Azzeddine LAZREK (invited expert), Paul Libbrecht (German Research Center for Artificial Intelligence), Manolis Mavrikis (University of Edinburgh), Bruce Miller (National Institute of Standards and Technology), Luca Padovani (University of Bologna), Neil Soiffer (Design Science, Inc.), Stephen Watt (Waterloo Maple Inc.)

The editors would also like to thank Richard Ishida for initiating the contacts that lead to the writing of this Note, and for many constructive comments on a draft of it.

7 Production Notes

The images of Arabic and Persian expressions were composed using the RyDArab system [RyDArab], and the FarsiTeX system [FarsiTeX], respectively.

A Localization Issues

This section discusses some of the localization issues encountered in this Note. Authors of MathML may want to consider these issues when composing documents. Additionally, it may be worth parameterizing converters from Content MathML to Presentation MathML so that they take into account the target language, locale, and conceivably the scientific discipline involved as well.

A.1 Number Systems

Assuming that the text content of cn elements can be unambiguously interpreted as a number, the locale selection must be able to choose not only the set of digits to use, but what set of decimal and thousands separators. Generally, the comma is used as a decimal separator with both the European and Arabic-Indic digits, but note that such a comma is distinct from the Arabic comma "،" used to separate items in a list.

A.2 Symbols Choice

There are two kinds of symbols: literal and mirrored symbols used according to the local area:

  • the sum operator is presented in the two ways: [Image of literal summation] and [Image of symbolic summation];

  • the product operator is presented in the two ways: [Image of literal product] and [Image of symbolic product];

  • the limit operator is presented in the two ways: [Image of literal limit] and [Image of limit in Persian style]. This last notation is used in Persian.

  • the factorial operator is presented in the two ways: [Image of literal factorial] and !12.

These stretched operators can be compared to the mathematical stretchy accents, only the roles are reversed. We can also think of something similar to the square root construction.

B Implementation Issues

This section describes issues that an implementor of an Arabic-enhanced MathML specification would encounter, and possible strategies for dealing with them.

B.1 Character Encoding

Even though some local symbols, used in mathematics written in an Arabic notation, can be obtained via mirroring of already existing symbols, there are many symbols found in Arabic mathematical handbooks that are not yet part of the Unicode Standard and cannot be obtained through a simple mirroring [ArabicMathUnicode]. Some of such special characters are submitted for inclusion into the Unicode Standard [UnicodeProposition].

B.2 Mathematical Fonts

Some font families are designed to meet with the requirements of typesetting mathematical documents in an Arabic notation. The RamzArab Arabic mathematical font [RamzArab] aims to provide a complete and homogeneous Arabic font family, in the OpenType format, respecting Arabic calligraphy rules.

Although letters in "tailed" and "stretched" forms are semantically distinct from the "initial" forms, they can be simulated by connecting with a particular final form of HEH and the final form of ALEF, respectively, and applying glyph shaping. This technique may be useful when an insufficient variety of fonts is available.

Implementors are encouraged to make it feasible for users to choose dotted or undotted mathematical symbol fonts easily in accord with local tastes.

B.3 Symbol Stretching

In the cases where operators need to be stretched to match the width of sub- or superscripts, the lengthening should be done using curves rather than straight lines. This curve lengthening is called curved kashida. It is one of the most important aspects of the Arabic calligraphy.

GoodBad
[Image of properly stretched summation][Image of poorly stretched summation]
[Image of properly stretched product][Image of poorly stretched product]
[Image of properly stretched limit][Image of poorly stretched limit]
[Image of properly stretched factorial][Image of poorly stretched factorial]

These curvilinear extensible symbols were generated by the CurExt application for the system TEX with a PostScript font generator [RamzArab].

Although horizontal stretching of sum and product operators is rare in European mathematics: [Image of stretched summation] and [Image of stretched product], this stretching is more common, and more desired, in Arabic mathematics: [Image of stretched mirrored summation] and [Image of stretched mirrored product].

[Note: the broken corner in these symbols is a known flaw to be repaired in a future version of RyDArab [RyDArab]].

B.4 Software Tools

The Dadzilla system, an adapted version of Mozilla, allows using MathML for Arabic mathematical notation [Dadzilla].

C Bibliography

MathML22e
David Carlisle, Patrick Ion, Robert Miner, Nico Poppelier, Mathematical Markup Language (MathML) Version 2.0 (2nd Edition) World Wide Web Consortium Working Draft 19. December 2002 (http://www.w3.org/TR/MathML2/)
UnicodeBiDiIntro
Richard Ishida, What you need to know about the bidi algorithm and inline markup http://www.w3.org/International/articles/inline-bidi-markup/
UnicodeBiDi
http://www.unicode.org/reports/tr9/
UnicodeProposition
http://www.ucam.ac.ma/fssm/rydarab/english/unicode.htm
ArabicMathUnicode
Mohamed Jamal Eddine Benatia, Azzeddine Lazrek, Khalid Sami, Arabic mathematical symbols in Unicode, IUC 27, Berlin, Germany, April 6-8, 2005. (http://www.ucam.ac.ma/fssm/rydarab/doc/communic/unicodem.pdf)
RyDArab
Azzeddine Lazrek, RyDArab-Typesetting Arabic mathematical expressions, TUGboat, Volume 25 (2004), No. 2, 2004. (http://www.ucam.ac.ma/fssm/rydarab/doc/communic/tugryd.pdf)
RamzArab
Mostafa Banouni, Mohamed Elyaakoubi, Azzeddine Lazrek, Dynamic Arabic mathematical fonts, LNCS, Volume 3130, pp. 149-157, 2004. (http://www.ucam.ac.ma/fssm/rydarab/doc/communic/tugfontm.pdf)
FarsiTeX
Behdad Esfahbod, Roozbeh Pournader, FarsiTeX and the Iranian TeX community. (http://www.tug.org/TUGboat/Articles/tb23-1/farsitex.pdf)
Dadzilla
Mustapha Eddahibi, Azzeddine Lazrek, Khalid Sami, Arabic mathematical e-documents, LNCS, Volume 3130, pp. 158-168, 2004. (http://www.ucam.ac.ma/fssm/rydarab/doc/communic/tugmathm.pdf)